Предмет: Физика,
автор: dimabos2007
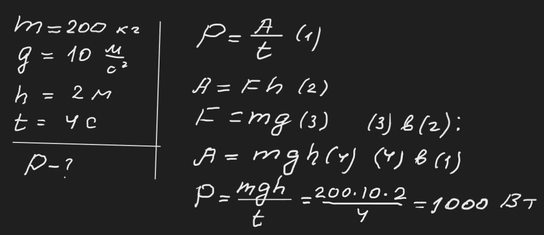
Спортсмен підняв штангу масою 200 кг на висоту 2 м за 4 с. Яку потужність він розвинув?
Розписати розвязання
Ответы
Автор ответа:
1
Відповідь: 1 кВт
Пояснення:
Приложения:
Похожие вопросы
Предмет: Қазақ тiлi,
автор: sulaevasibela
Предмет: Русский язык,
автор: nurssnur801
Предмет: Физика,
автор: Cloudy9093
Предмет: Алгебра,
автор: chakchakekaterina