Предмет: Алгебра,
автор: happy028
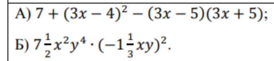
решите пожалуйста 2 пример
Приложения:
Ответы
Автор ответа:
1
Ответ: 40*5/6х^4*у^6
Объяснение:
воо как то так, так то легко, просто раскрыть и
Приложения:
happy028:
большое спасибо!!!
Похожие вопросы
Предмет: История,
автор: lera000053
Предмет: Алгебра,
автор: l3727172
Предмет: Литература,
автор: Vzheltonozhko
Предмет: Химия,
автор: maksim1541
Предмет: Математика,
автор: maksimshulyk123