Предмет: Геометрия,
автор: aroslavtimofeev63
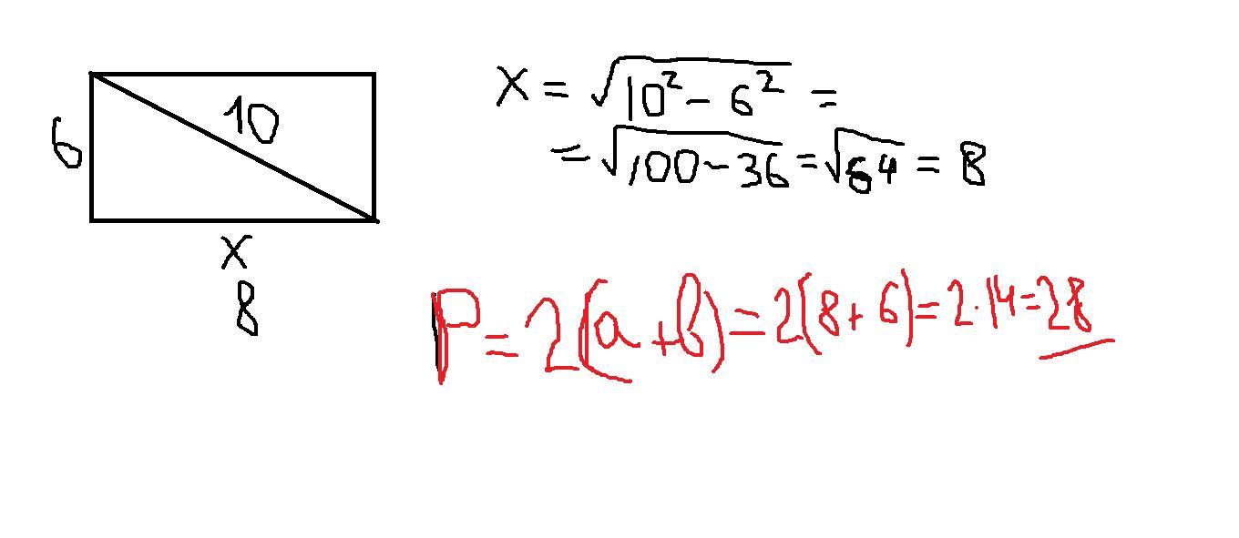
Одна из сторин прямокутника доривнюе 6 м.знайти його периметр якщо його диагональ доривнюе 10 м
Ответы
Автор ответа:
0
Відповідь:
28
Пояснення:
За теоремою Піфагора знаходимо 2 сторону, а далі за формолую знаходимо периметр
Приложения:
Похожие вопросы
Предмет: Окружающий мир,
автор: annabellekina20
Предмет: Геометрия,
автор: marianna2837
Предмет: Математика,
автор: rispektemirlan
Предмет: Математика,
автор: art5610