Предмет: Математика,
автор: motyyvii
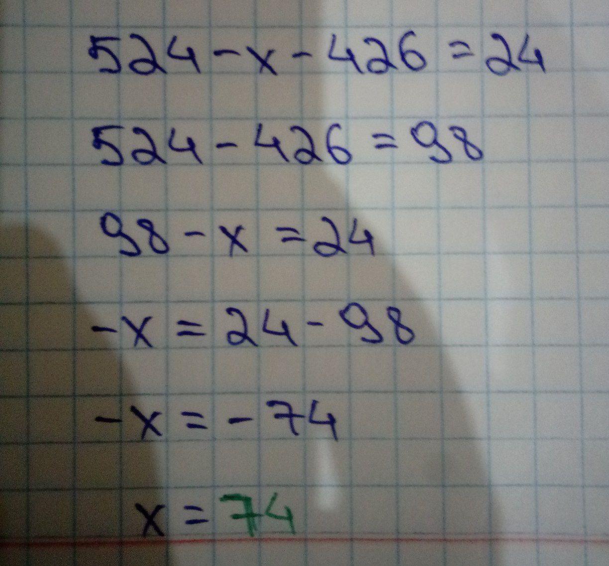
524-x-426=24 срочно помогите!
Ответы
Автор ответа:
0
Ответ:
подробное решение на фото
Приложения:
Похожие вопросы
Предмет: Русский язык,
автор: SatMane0ayuli
Предмет: Українська мова,
автор: Віалиуй
Предмет: Английский язык,
автор: TorryV
Предмет: История,
автор: wowRM
Предмет: Русский язык,
автор: glusakovalera