Предмет: Алгебра,
автор: Аноним
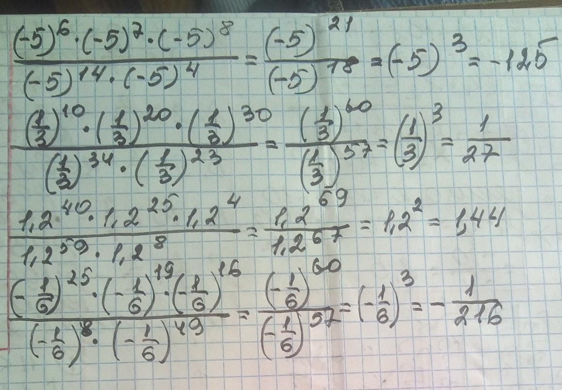
помогите пожалуйста
Приложения:
Ответы
Автор ответа:
1
Ответ:
решение смотри на фотографии
Приложения:
Похожие вопросы
Предмет: Українська мова,
автор: Аноним
Предмет: Английский язык,
автор: SerezhaYakovle
Предмет: Окружающий мир,
автор: Полина35898
Предмет: Математика,
автор: alsu45678
Предмет: Геометрия,
автор: SirDemon555