Предмет: Физика,
автор: sachavolchenko1
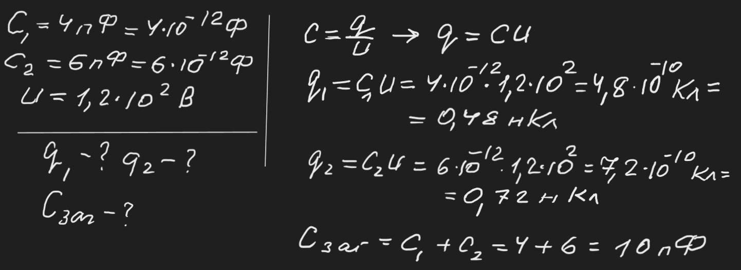
Два конденсатори з' єднанні паралельно C1= 4 пФ ,С2 = 6 пФ ,напруга
U=120B Визначити заряди на конденсаторах q1,q2, загальну ємність С?
помогите пожалуйста
Ответы
Автор ответа:
1
Відповідь: Див. додаток
Пояснення:
Приложения:
Похожие вопросы
Предмет: Английский язык,
автор: карина1510
Предмет: Английский язык,
автор: LionKing111
Предмет: Русский язык,
автор: катяша2
Предмет: Русский язык,
автор: fgjjyffcfyuhhhhjjjjj
Предмет: Математика,
автор: roman9536