Предмет: Алгебра,
автор: viktoriaeskova968
кр! даю 15 баллов!!!!!
Приложения:
Ответы
Автор ответа:
1
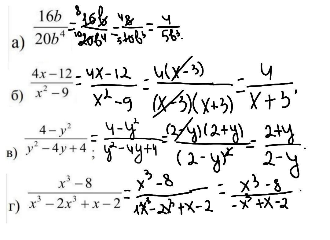
Ответ:
відповідь знаходиться на прикріпленому малюнку.
Приложения:
Похожие вопросы
Предмет: Русский язык,
автор: Savа
Предмет: Русский язык,
автор: natellasurmanidze
Предмет: Русский язык,
автор: DavidGal2017
Предмет: Окружающий мир,
автор: Zayapokacalova
Предмет: Информатика,
автор: 1211211