Предмет: Математика,
автор: solomiiatsupko
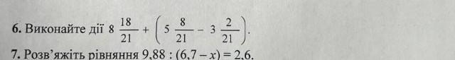
Пожалуйста срочно помогите нужно сделать номер 6... даю 15 баллов за правильный ответ.
Приложения:
Ответы
Автор ответа:
1
Пошаговое объяснение:
1) 5 8/21 - 3 2/21 = 2 6/21
2) 8 18/21+ 2 6/21 = 11 3/21
solomiiatsupko:
спасибо!!!
Похожие вопросы
Предмет: Русский язык,
автор: ushstСамоопозг
Предмет: Русский язык,
автор: НеВаЖнО8937
Предмет: Другие предметы,
автор: ЕкатеринаLarry
Предмет: Химия,
автор: xxhearttommo
Предмет: Физика,
автор: czivilevay