Предмет: Алгебра,
автор: rdilnoza075
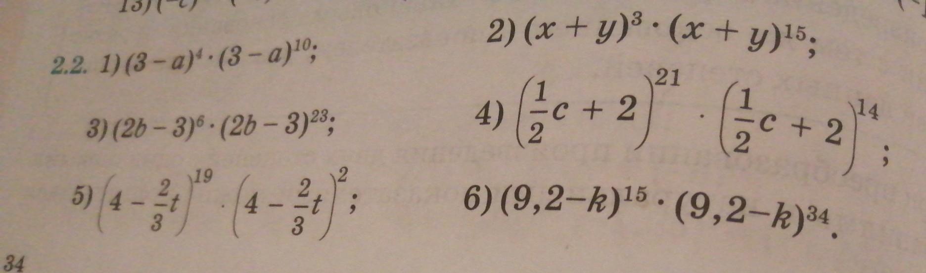
Решите на фото даю 40б. Срочноооооооо
Приложения:
Ответы
Автор ответа:
0
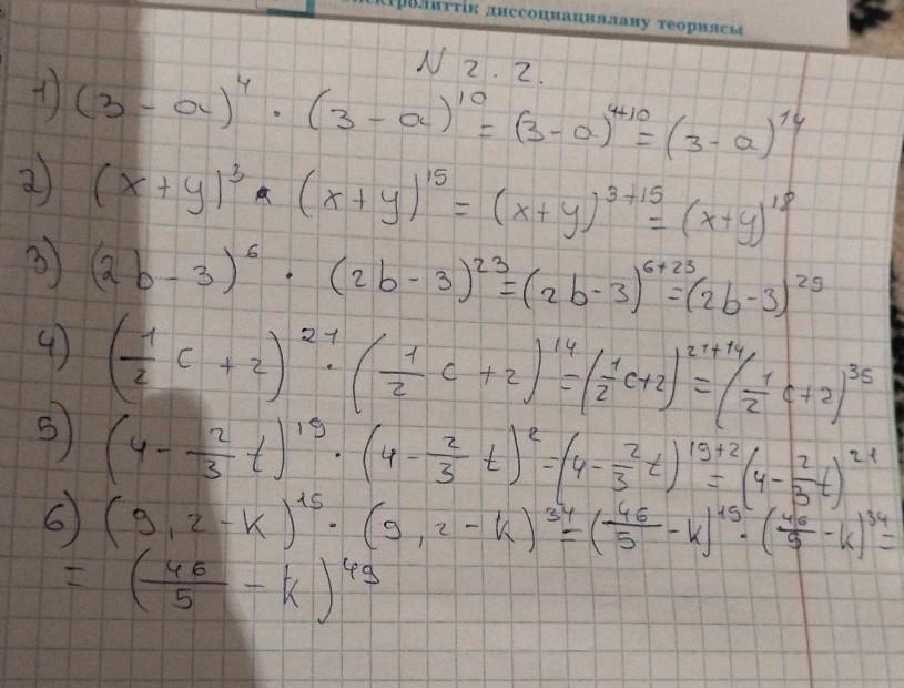
Ответ:
....................
Приложения:
rdilnoza075:
Спасибо
Похожие вопросы
Предмет: Русский язык,
автор: Аноним
Предмет: Русский язык,
автор: Detpoolplay
Предмет: Другие предметы,
автор: ник3317
Предмет: Биология,
автор: stxx
Предмет: Химия,
автор: Vladmt