Предмет: Физика,
автор: 975646633
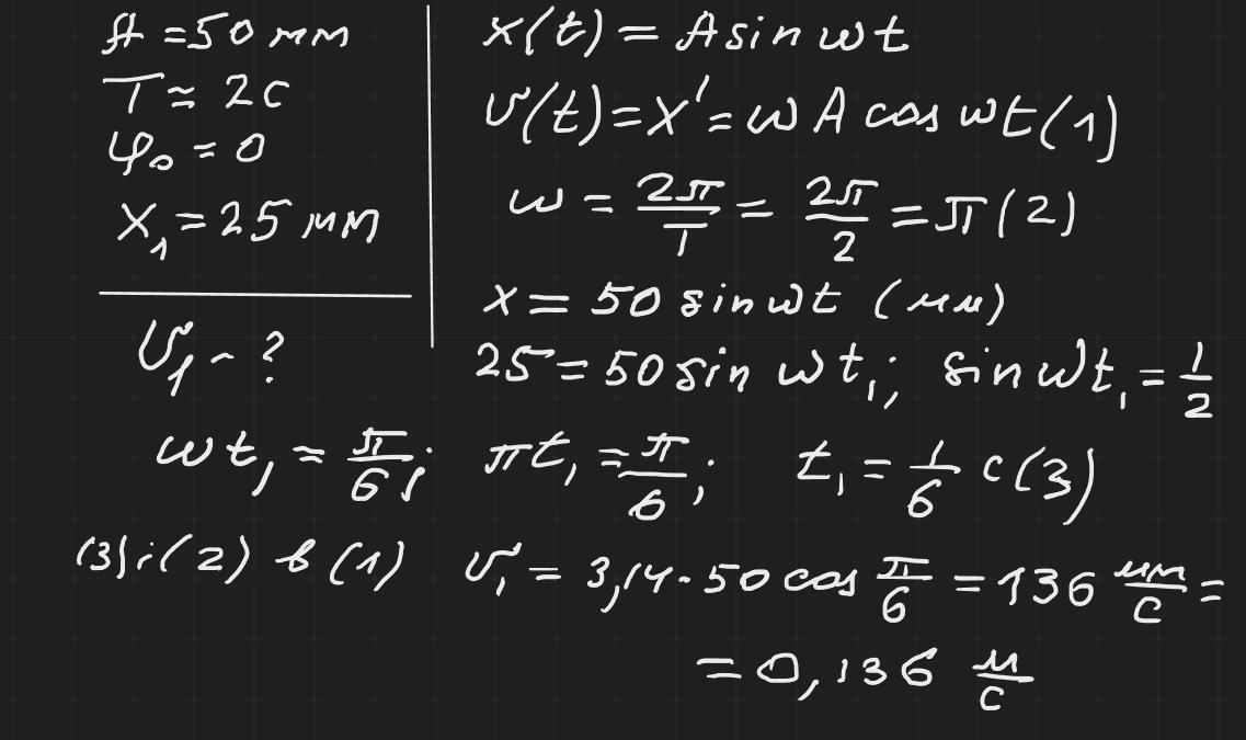
Помогите пожалуйста !!!!!!!!!!!!!!!!!!!!!!!!!!!!!!Точка виконує гармонічне коливання з періодом Т=2с, амплітудою А=50мм, початковою фазою j=0. Знайди модуль швидкості v точки в момент часу,коли зміщення точки від положення рівноваги х= 25мм
Ответы
Автор ответа:
1
Відповідь: 0,136 м/с
Пояснення:
Приложения:
Похожие вопросы
Предмет: Английский язык,
автор: nasasharlera
Предмет: Қазақ тiлi,
автор: Marianna200r
Предмет: Русский язык,
автор: Олеговна11
Предмет: Другие предметы,
автор: angelina6361