Предмет: Алгебра,
автор: daytekodsupercellid
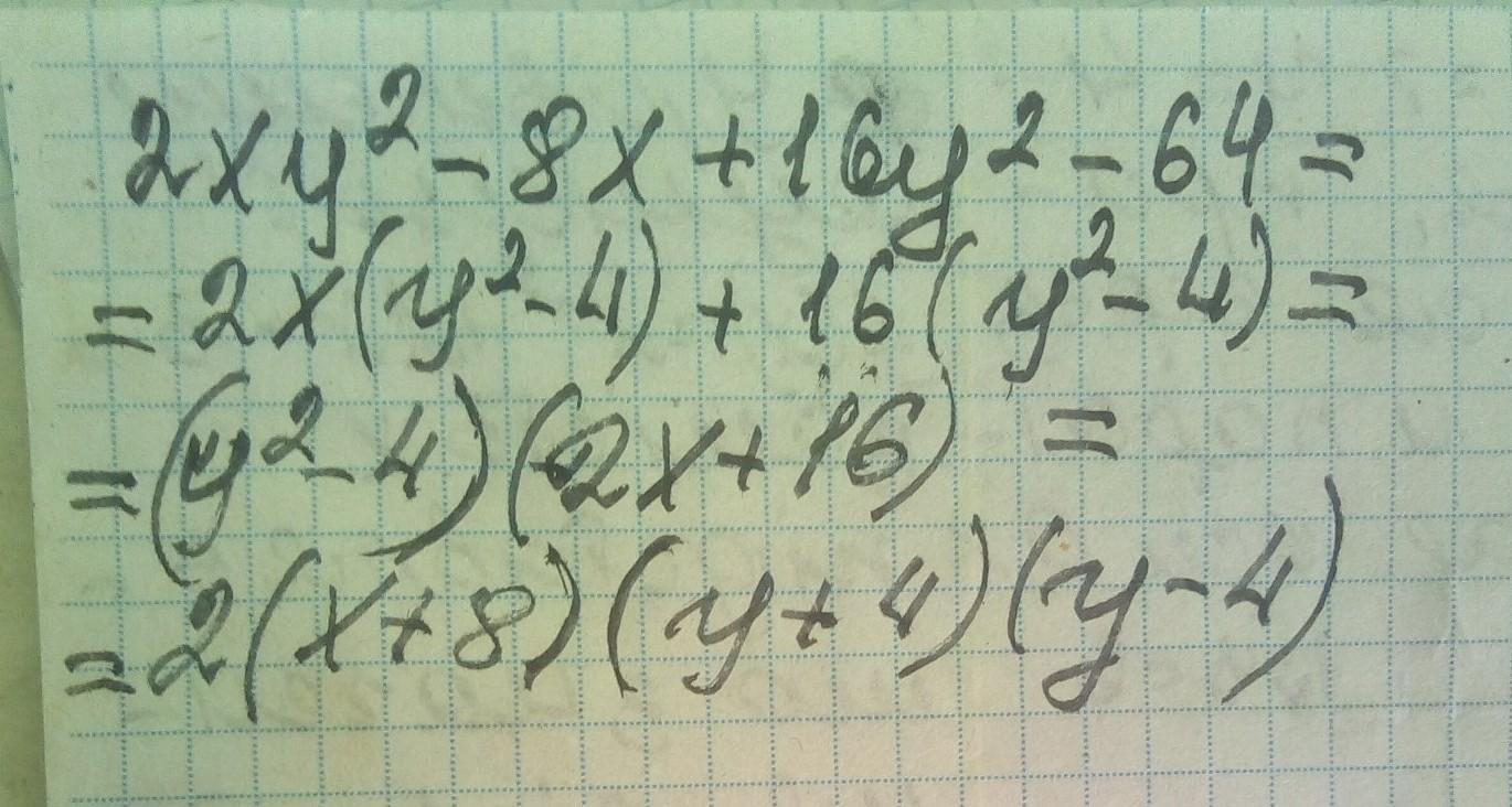
Розкласты на множники многочлена: 2ху²-8х+16у²-64
Ответы
Автор ответа:
0
Ответ:
решение смотри на фотографии
Приложения:
Автор ответа:
0
Відповідь:
вот держи)
Пояснення:
Приложения:
Похожие вопросы
Предмет: Русский язык,
автор: 20183
Предмет: Окружающий мир,
автор: ясинчик
Предмет: Английский язык,
автор: Екатерина912
Предмет: Русский язык,
автор: kemalekamalzade
Предмет: История,
автор: moro123