Предмет: Физика,
автор: kundikvasilina
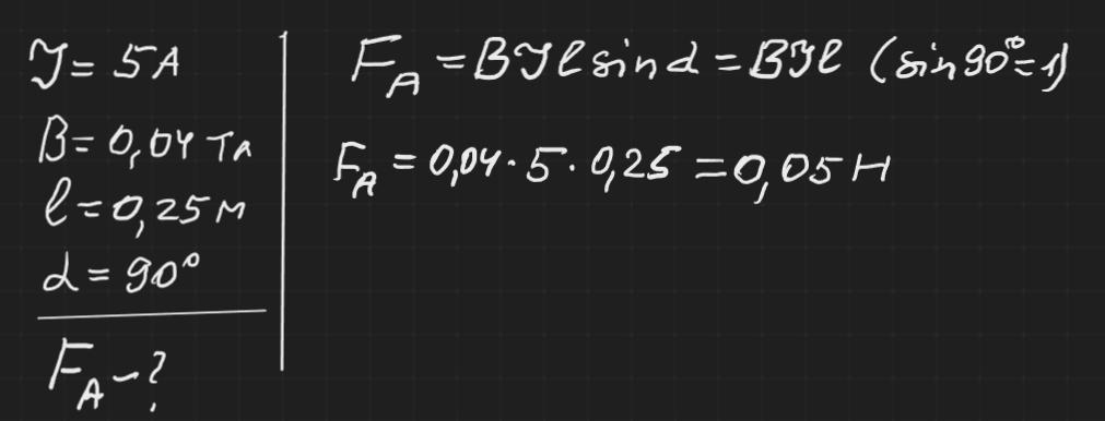
46. Визначити силу Ампера, що діє на провідник зі струмом 5 A, що розташований однорідному магнітному полі з індукцією 0,04 Тл. Активна довжина провідника 0,25 м, а лінії магнітного поля і провідник взаємно перпендикулярні.
50 балів !
Ответы
Автор ответа:
3
Ответ: 0.05Н
Объяснение:
Дано:
I=5A
В=0,04Тл
l=0,25м
α=90°
--------------
F-?
F=IBlsinα=5*0.04*0.25*sin90°=0.05Н
Автор ответа:
6
Відповідь: 0,05 Н
Пояснення:
Приложения:
Похожие вопросы
Предмет: Английский язык,
автор: oksi781
Предмет: Русский язык,
автор: valereyhaske
Предмет: Английский язык,
автор: Пастуховаа
Предмет: Русский язык,
автор: Anuto4ks