Предмет: Математика,
автор: demchik22
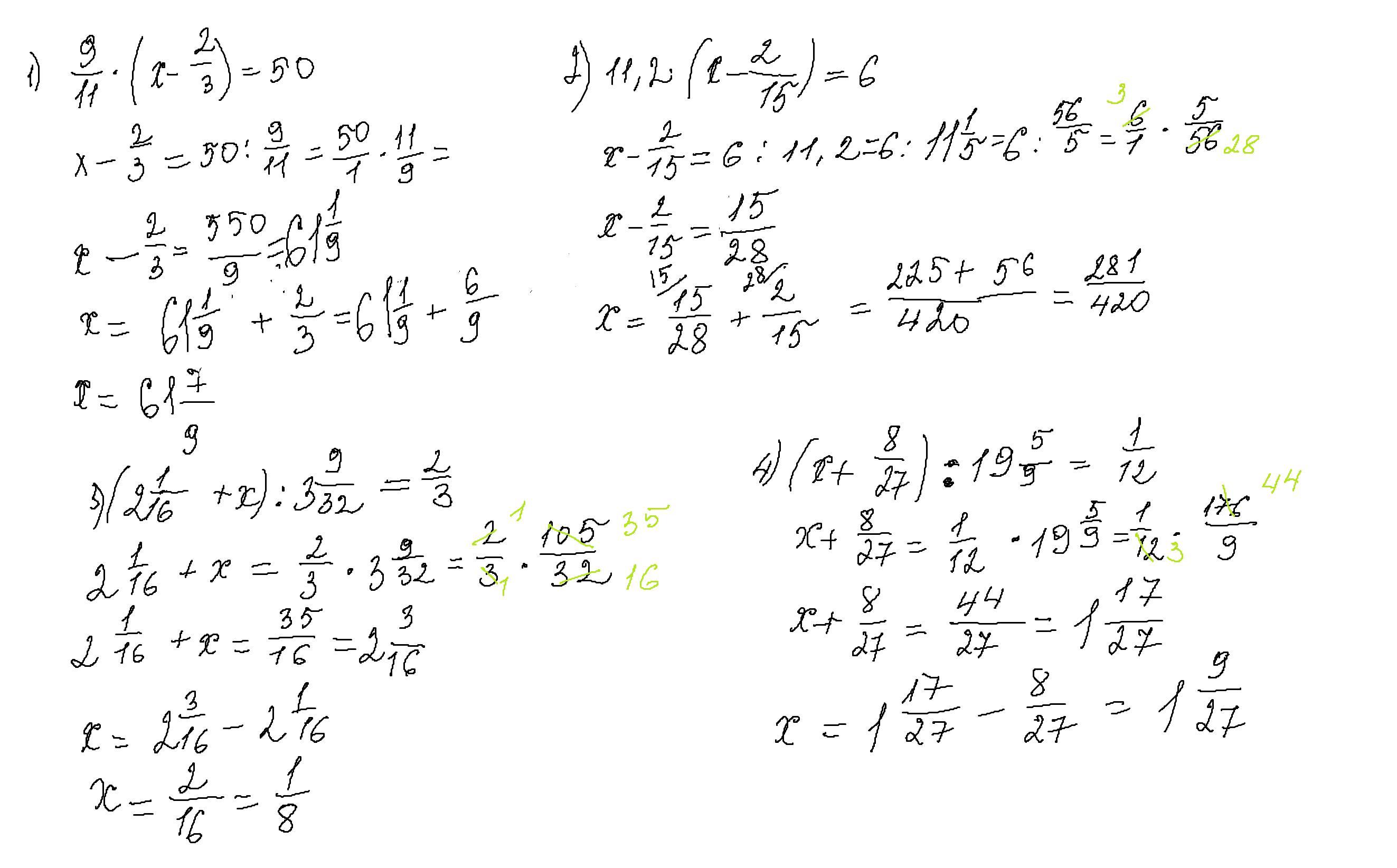
Найдите корни уравнений 75.
Приложения:
Ответы
Автор ответа:
0
Ответ:
Пошаговое объяснение:
Приложения:
Похожие вопросы
Предмет: Українська мова,
автор: klumko1987
Предмет: Русский язык,
автор: АнгелинаА11
Предмет: Русский язык,
автор: Алинаsab
Предмет: Математика,
автор: lenagarnik
Предмет: Математика,
автор: кеми2