Предмет: Алгебра,
автор: maksimzahoruglo
помогите очень нужно
Приложения:
Ответы
Автор ответа:
2
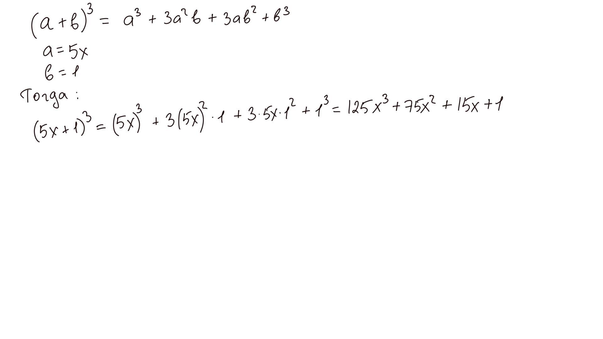
Ответ:
С
Решение на фото
Приложения:
Похожие вопросы
Предмет: Русский язык,
автор: Славусик1519
Предмет: Русский язык,
автор: Danilova228
Предмет: Українська література,
автор: Angela11221
Предмет: Математика,
автор: Viktoria2277
Предмет: Математика,
автор: david528