Предмет: Алгебра,
автор: narmina1012
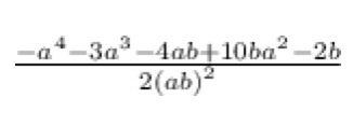
срочно!!! выполнить действия 5а^2-2а-1/а^2×в - а+3/а^2×в^3 : 2/ав^2
Приложения:
Ответы
Автор ответа:
1
1) Ответ на задание :
Приложения:
Похожие вопросы
Предмет: Английский язык,
автор: Школьниковский
Предмет: Русский язык,
автор: матвей389
Предмет: Английский язык,
автор: Аноним
Предмет: Математика,
автор: valerachirczov91
Предмет: Математика,
автор: ayka0701