Предмет: Геометрия,
автор: sabina2000sul
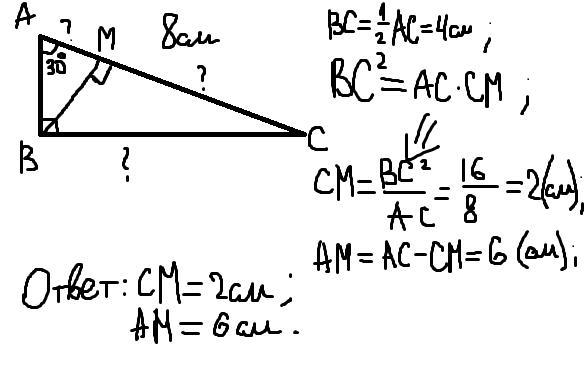
В треугольнике ABC с прямым углом B угол А равен 30 градусов АС равно 8 см BK Высота треугольника найти длины отрезка BC ,МС,АМ расписать!
Ответы
Автор ответа:
0
Ответ:
рисунок не очень, но ответ правильный))))
Объяснение:
Приложения:
Похожие вопросы
Предмет: Русский язык,
автор: замираа
Предмет: Русский язык,
автор: katyasalikhova
Предмет: Английский язык,
автор: panteleeva2002
Предмет: Қазақ тiлi,
автор: sdcardnety129
Предмет: Математика,
автор: gagggag