Предмет: Химия,
автор: nastyazefirka06
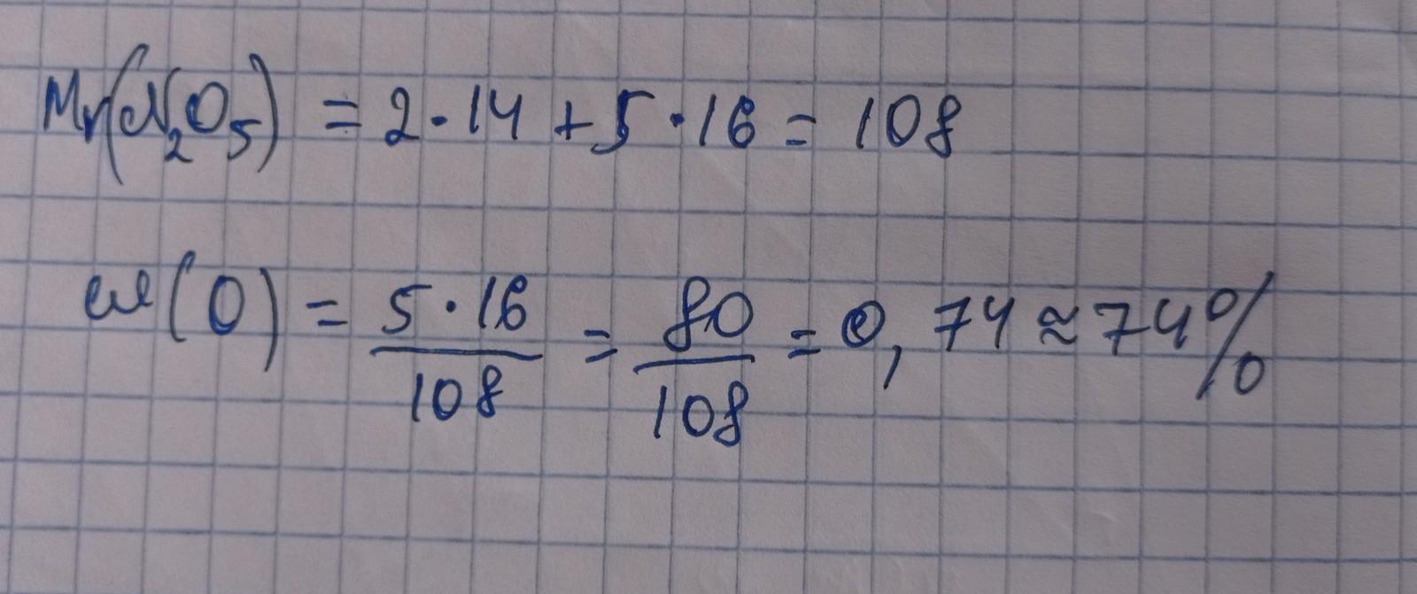
знайти масуову частку оксигену в молекулі нітрогену(v) оксиду
Ответы
Автор ответа:
1
Ответ:
Решение на фото (◍•ᴗ•◍)❤
Приложения:
Похожие вопросы
Предмет: Русский язык,
автор: диджейданя
Предмет: Русский язык,
автор: MrAsket
Предмет: Қазақ тiлi,
автор: Аноним
Предмет: Геометрия,
автор: HarelyQeen