Предмет: Алгебра,
автор: kela87
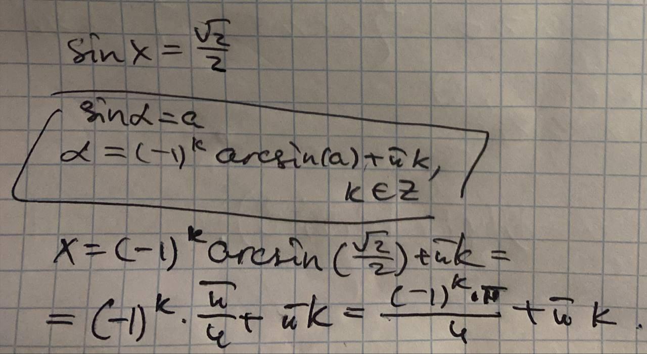
знайдіть корені рівняння sin x = √2/2
Ответы
Автор ответа:
0
дивіться фото....................
Приложения:
Похожие вопросы
Предмет: Русский язык,
автор: valentinaapost
Предмет: Русский язык,
автор: sdashratyan10
Предмет: Русский язык,
автор: vika20143
Предмет: Қазақ тiлi,
автор: tomiris444
Предмет: Алгебра,
автор: belousovK2004