Предмет: Алгебра,
автор: shabdannniikud
Только 1 это производная
Приложения:
Ответы
Автор ответа:
0
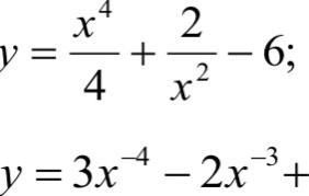
Ответ:
х³ - 4/х³.
Объяснение:
у = х⁴/4 + 2/х² - 6
у = 1/4 •х⁴ + 2•х^(-2) - 6
у' = 1/4•4х³ + 2•(-2х^(-3)) - 0 =
= х³ - 4•х^(-3) = х³ - 4/х³.
В решении использована формула:
(х^n)' = n•x^(n-1).
Похожие вопросы
Предмет: Английский язык,
автор: VladaMarkina
Предмет: Английский язык,
автор: ник3517
Предмет: Английский язык,
автор: EvgeniaPumkin
Предмет: Математика,
автор: meto45
Предмет: Алгебра,
автор: PrankBr0