Предмет: Физика,
автор: dariasemenako
допоможіть!! будь-ласка
Приложения:
Ответы
Автор ответа:
1
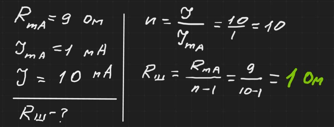
Відповідь: 1 Ом
Пояснення:
Приложения:
Похожие вопросы
Предмет: Русский язык,
автор: novoselovana72
Предмет: Английский язык,
автор: УчуДомашку
Предмет: Английский язык,
автор: николь198
Предмет: Українська мова,
автор: mashylia20039002
Предмет: Математика,
автор: anna162634