Предмет: Алгебра,
автор: akyulenokk
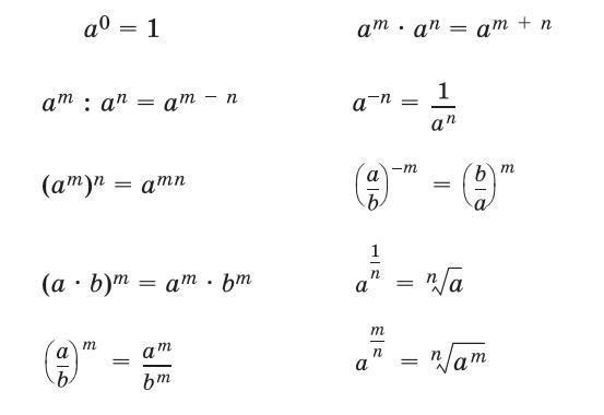
Всі основні формули з Алгебри 7 клас
Ответы
Автор ответа:
1
Ответ:
формулы сокращённого умножения и свойства степеней
Приложения:
Похожие вопросы
Предмет: Русский язык,
автор: Настя66895321
Предмет: Русский язык,
автор: Аноним
Предмет: Окружающий мир,
автор: СМаша1
Предмет: Русский язык,
автор: Аноним
Предмет: Українська мова,
автор: lubasamarskay