Предмет: Математика,
автор: Vstanya
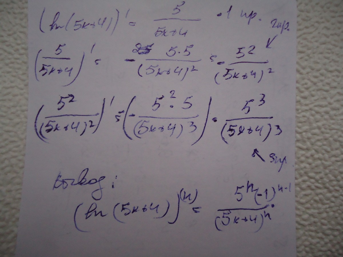
Найти производную n-го порядка:
у= ln(5x+4)
Ответы
Автор ответа:
0
5^n*(-1)^(n-1)*(5x+4)^(-n)
......................................
......................................
Приложения:
Автор ответа:
0
А подробное есть?
Автор ответа:
0
смотри фотку)
Автор ответа:
0
Спасибо огромное!)
Похожие вопросы
Предмет: Английский язык,
автор: heckles566
Предмет: Русский язык,
автор: nsksjeh
Предмет: Литература,
автор: Аноним
Предмет: Математика,
автор: 200ВиОлЕтТA002
Предмет: География,
автор: Gleb5837082