Предмет: Алгебра,
автор: azamat19820813
N0.16 решите систему уровнений дам 30 балов
Приложения:
Ответы
Автор ответа:
0
Объяснение:
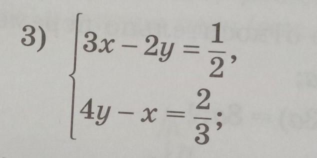
{3х-2у=1/2
{4у-х=2/3
{3х-2у=1/2 ×2
{-х+4у=2/3
{6х-4у=1
{-х+4у=2/3
+ ————
5х=1 2/3
5х=5/3
х=5/3:5
х=5/3×1/5
х=1/3
3×1/3-2у=1/2
1-2у=1/2
-2у=1/2-1
-2у= -1/2
у= -1/2:(-2)
у= -1/2×(-1/2)
у=1/4
ответ: (1/3; 1/4)
Похожие вопросы
Предмет: Русский язык,
автор: Иван6754
Предмет: Русский язык,
автор: gasymova06
Предмет: Окружающий мир,
автор: 1231999
Предмет: Русский язык,
автор: superjames554
Предмет: Геометрия,
автор: yul4697