Предмет: Алгебра,
автор: wgva
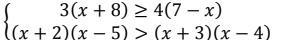
Помогите решить систему неравенств
Приложения:
Ответы
Автор ответа:
1
Відповідь:3х+24≥28-4х
х²-5х+2х-10>х²-4х+3х-12
3х+4х≥28-24
х²-х²-5х+2х+4х>-12+10
7х≥4
-2х>-2
х≥4/7
х>1
Пояснення: вроде так
Похожие вопросы
Предмет: Русский язык,
автор: vaselisk2211
Предмет: Русский язык,
автор: Фриски80
Предмет: Русский язык,
автор: Фриски80
Предмет: Обществознание,
автор: axeblack02
Предмет: Алгебра,
автор: mariakihaeva18