Предмет: Алгебра, автор: aldiarhamidulla2

пжпжппжпж срочно помогите дам 40 балов ​

Приложения:

Ответы

Автор ответа: janbyrbaevanagima
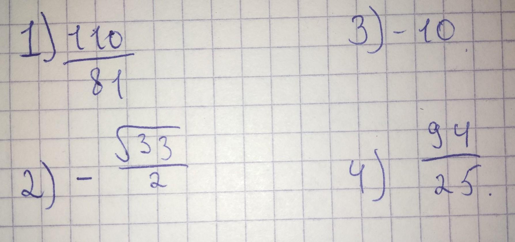
1

Ответ:

100% дұрыс оқасы жоқ........

Приложения:
Похожие вопросы
Предмет: Русский язык, автор: Аноним
Предмет: Қазақ тiлi, автор: Eva22811
Предмет: Українська мова, автор: solyanikaterina
УМОЛЯЮ! 1. Виберіть складносурядне речення.


A) Коли падав із дерев лист і люди збирали картоплю, повернувся додому Оксен


Б) Тихо-мирно спала зграя лебедина, і даремно лебідь звав, будив її .


B) Микола пізнавав дівчину і не впізнавав: вона була не вербівська .


Г) На зорі задививсь хлопчина, але своєї не знайшов .


2. Виберіть складносурядне речення, частини якого поєднані за допомогою протиставного сполучника.


A) Осідлайте швидше коні воронії, та й поїдем доганяти літа молодії.


Б) То сонце вигляне, то знову бризне дощ .


B) Вмерла осінь, і холодом трав вже не пахне мені вечорами .


Г) Хай слово мовлене інакше, та суть в них наша зостається.




3. Виберіть складносурядне речення, у якому допущено пунктуаційну помилку.


A) А у мене хліб м’який холоне і любисток в’яне од досад .


Б) То снідаю, то обідаю – і погуляти ніколи .


B) За горами грім гуркоче, і здригається земля .


Г) Півкроку вбік – і все це піде прахом .




4. Виберіть речення, яке відповідає схемі [ ] – і [ ]. (розділові знаки пропущено).


A) Ще над Дніпром клубочиться задуха і пахне степом сизий деревій .


Б) Хвилина і табун мов буря понесла .


B) Повітря тремтить від спеки і в срібнім мареві танцюють далекі тополі .


Г) Ранок стрічав їх холодним дощем і плакав десь вітер в саду за кущем.


5. Яке з поданих речень не є складнопідрядним?


А Був би я щасливим все життя, коли б ти в мою голодну душу кинула копійку співчуття .

Б Він мав свою землю — десятин з шістдесят, коли не більше, он там за Россю, по праву руку од гори.

В Кобзарю наш, почуй благання і жить навчи нас так, як ти .

Г Не зневажай душі своєї цвіту, бо з нього виросло кохання наше... .

Ґ Тільки те дерево може жити, розвиватись, зеленіти й давати плоди, яке глибоко пустило своє коріння в землю і в той же час зметнуло буйну крону в небеса .


6. Знайдіть складнопідрядні речення з підрядним з'ясувальним.


А Я гладив золоте колосся, як гладить милому волосся щаслива ніжна наречена (Д. Павличко).

Б Чи справді необхідно, щоб жінка була мужня? .

В Хуртеча за вікном розгулялася така, що усе гуло-стугоніло .

Г За козацьких часів на Україні були поширені шовкові пояси, що їх тоді привозили з Персії та інших країн Далекого і Близького Сходу .

Ґ Що буде через якусь тисячу років з мистецтвом, ми не знаємо.


7. Яке з поданих речень є складнопідрядним з підрядним обставинним порівняльним?


А Життя — як той потік, а час — мов океан .

Б Не спалося, а ніч — як море.

В Як любо весною, як любо.

Г Сиві, рожеві, блакитні дими кучеряві пливуть з високих, мов башти, стрімких димарів .

Ґ Моєму серцю снився ти, як морю сняться урагани.


8. Знайдіть складнопідрядне з підрядним обставинним способу дії.


А Так солодко в передчуванні бою, не знаючи вагання і квилінь, покірну землю чути під ногою і пити зором синю далечінь .

Б Мовчи, так подумають, що ти розумний .

В А мати хоче научати, так соловейко не дає .

Г Голова не на те, щоб кашкет носити.

Ґ Слова знайдуться на мою печаль так, як знайшлися на веселу пісню (Д. Павличко).