Предмет: Физика,
автор: jekamixxakep1
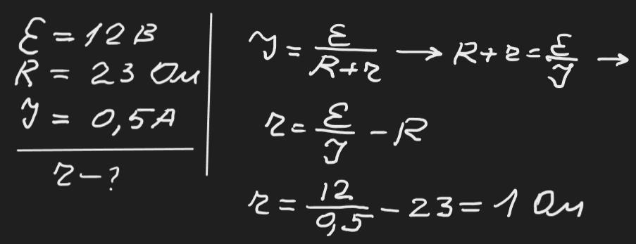
Визначити внутрішній опір джерела струму, якщо його ЕРС 12 В, опір
зовнішнього кола 23 Ом, а сила струму, що проходить по колу 0,5 А.
Ответы
Автор ответа:
0
Відповідь: 1 Ом
Пояснення:
Приложения:
Похожие вопросы
Предмет: Английский язык,
автор: Аноним
Предмет: Українська література,
автор: Дімакс
Предмет: Английский язык,
автор: Скажипожалуйста44
Предмет: Музыка,
автор: sabina8762
Предмет: История,
автор: sun2002