Предмет: Алгебра,
автор: averyandor2008
Помогите решить,пожалуйста!
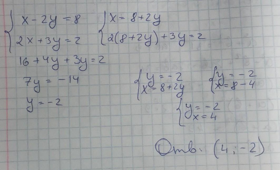
Решите систему уравнений
x-2y=8
2x+3y=2
Ответы
Автор ответа:
2
Доброго времени суток. Решение во вложении
Приложения:
Похожие вопросы
Предмет: Українська мова,
автор: akanfetka
Предмет: Русский язык,
автор: Kamikoto1
Предмет: Английский язык,
автор: 30202
Предмет: Химия,
автор: 1classic2friends3
Предмет: Алгебра,
автор: ahmethelp