Предмет: Алгебра,
автор: dimagaraga8
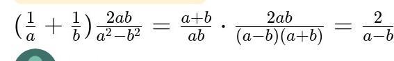
( 2ab + 1 ) ( 2ab- 1 ) ( 16a¹b¹ + 1 ) ( 4a²b² + 1 ) помогите пжпжпжпжпж дам 30 балов
Ответы
Автор ответа:
0
Объяснение:
сейчас дам вроде правельно
Приложения:
Похожие вопросы
Предмет: Русский язык,
автор: AidaAz
Предмет: Русский язык,
автор: radmir20
Предмет: Английский язык,
автор: muhlisa5
Предмет: Литература,
автор: dimka024