Предмет: Алгебра,
автор: ajnastemeseva
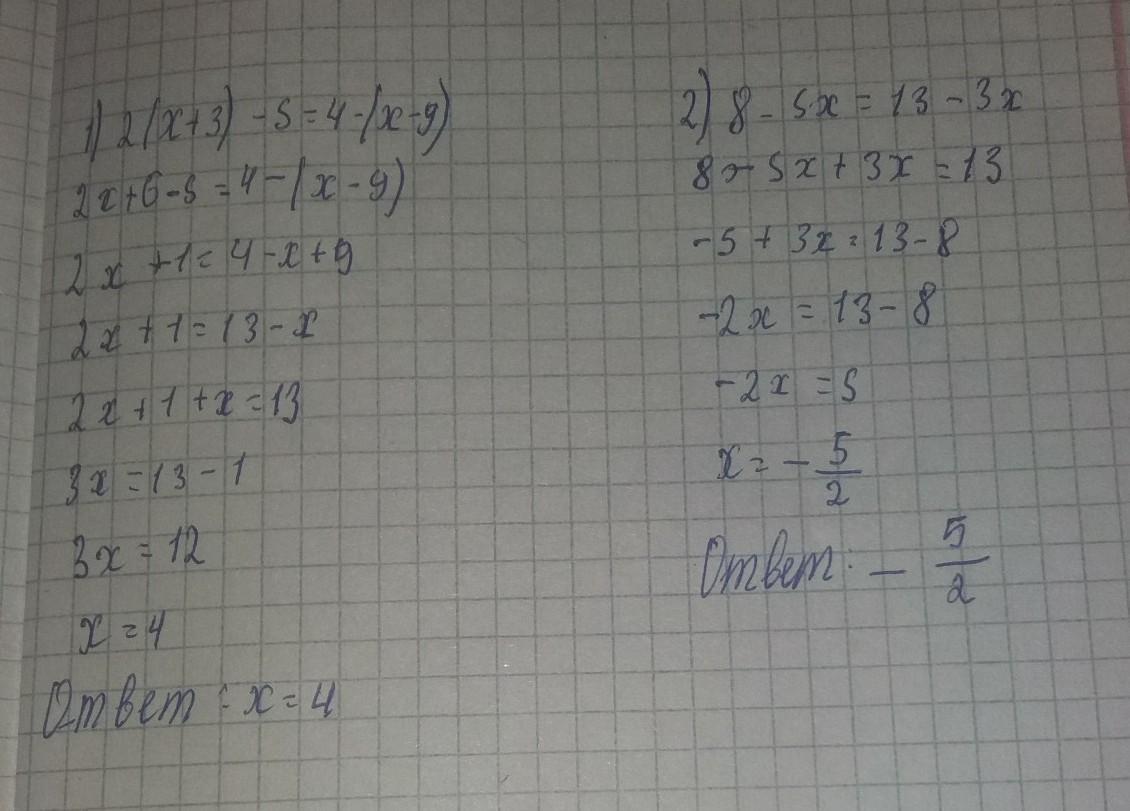
1)2(x+3)-5=4-(x-9)
2)8-5x=13-3x
помогите пожалуйста
Ответы
Автор ответа:
1
Ответ:
Объяснение:
1) 2(x+3)-5=4-(x-9);
2x+6-5=4-x+9;
3x=12;
x=4.
-------
2) 8-5x=13-3x;
-5x+3x=13-8;
-2x=5;
x=-2.5.
Автор ответа:
1
Ответ:
1)x=4
2)-5/2
Объяснение:
ЭТО ПРАВИЛЬНО
Приложения:
Похожие вопросы
Предмет: Английский язык,
автор: ElenScarlett
Предмет: Окружающий мир,
автор: tanak4553
Предмет: Окружающий мир,
автор: 12345артем
Предмет: География,
автор: SpecialCat