Предмет: Алгебра,
автор: Аноним
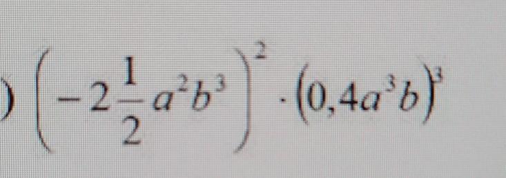
СРОЧНО ПЖ ОЧЕНЬ СИЛЬНО БУДУ БЛАГОДАРЕН
Приложения:
Ответы
Автор ответа:
0
Объяснение:
...........................................................
Приложения:
Похожие вопросы
Предмет: Русский язык,
автор: ykirshina
Предмет: Русский язык,
автор: SallyFaceLarry
Предмет: Русский язык,
автор: отличникъ
Предмет: Английский язык,
автор: bakinadoha2017
Предмет: Геометрия,
автор: viktoru0502