Предмет: Математика,
автор: arturkadykov222
Решите примеры. (С действиями) Даю 29 баллов
Приложения:
arturkadykov222:
Последние действие в последним примере *
умножить
Ответы
Автор ответа:
1
Ответ:
1)
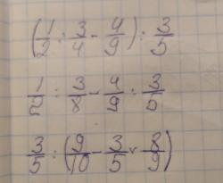
(1/2:3/4-4/9):3/5
первое действие в скобках
1)1/2:3/4=1/2×4/3=2/3
2)2/3-4/9=2/9
3)2/9÷3/5=1027
2)
1/2:3/8-4/9÷3/6
1) 1/2 ÷ 3/8=4/3
2)4/9÷3/6=8/9
3)3/6-8/9=7/18
3)
3/5÷(9/10-3/5×8/9)
1)3/5×8/9=8/15
2)9/10- 8/15=11/30
3)3/5÷11/30=18/11=1 7/11
Похожие вопросы
Предмет: Қазақ тiлi,
автор: Бота020877
Предмет: Русский язык,
автор: zemra
Предмет: Русский язык,
автор: daniil288
Предмет: Литература,
автор: Sonya987165648