Предмет: Алгебра,
автор: jlk86
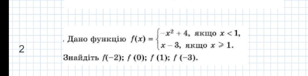
Пожалуйста, помогите. Это очень срочно
Приложения:
Ответы
Автор ответа:
0
Ответ:
имлалржспожпсшпвшвпшжевжнвжспшпшвжнвшж
Объяснение:
сори я сам не знаю
Похожие вопросы
Предмет: Окружающий мир,
автор: micha190782
Предмет: Окружающий мир,
автор: micha190782
Предмет: Окружающий мир,
автор: micha190782
Предмет: Литература,
автор: RavenSilk
Предмет: Английский язык,
автор: marimayer02