Предмет: Алгебра,
автор: tanakrejsa
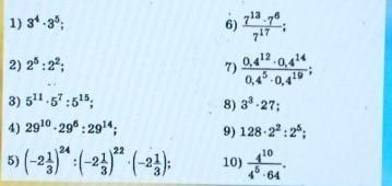
Прошу пожалуйста помогитееееееее хотя бы некоторые!!!!! Подайте вираз у вигляді степеня та обчисліть його значення:
Приложения:
Ответы
Автор ответа:
0
Объяснение:
1) 3⁴ * 3⁵ = 3⁴+⁵ = 3⁹ = 19683
2) 2⁵ : 2² = 2⁵-² = 2³ = 8
3) 5¹¹ * 5⁷ : 5¹⁵ = 5¹¹+⁷-¹⁵ = 5³ = 125
4) 29¹⁰ * 29⁵ : 29¹⁴ = 29¹⁰+⁵-¹⁴ = 29¹ = 29
6) (7¹³ * 7⁶)/7¹⁷ = 7¹⁹/7¹⁷= 7² = 49
7) (0,4¹² * 0,4¹⁴)/(0,4⁵ * 0,4¹⁹) = 0,4²⁶/0,4²⁴ = 0,4² = 0,16
8) 3³ * 27 = 3³ * 3³ = 3⁶ = 729
9) 128 * 2² : 2⁵ = 2⁷ * 2² : 2⁵= 2⁷+²-⁵ = 2⁴ = 16
10) 4¹⁰/(4⁵ * 64) = 4¹⁰/(4⁵ * 4³) = 4¹⁰/4⁸ = 4² = 16
Похожие вопросы
Предмет: Окружающий мир,
автор: gmaslova09
Предмет: Английский язык,
автор: CBA
Предмет: Английский язык,
автор: faira09
Предмет: Математика,
автор: hoga8
Предмет: Уход за собой,
автор: aas111904