Предмет: Алгебра,
автор: LaymOmen
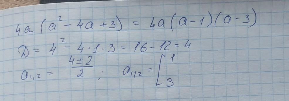
спростити вираз 4a(a^2-4a+3) и показать решение его.
Ответы
Автор ответа:
2
Доброго времени суток. Решение во вложении
Приложения:
Похожие вопросы
Предмет: Окружающий мир,
автор: SadullaevTimur
Предмет: Технология,
автор: ftykftyukdft5yukdt
Предмет: Русский язык,
автор: министрелия451
Предмет: Физика,
автор: dogesuck
Предмет: Английский язык,
автор: 768330