Предмет: Геометрия,
автор: youcockylycemer
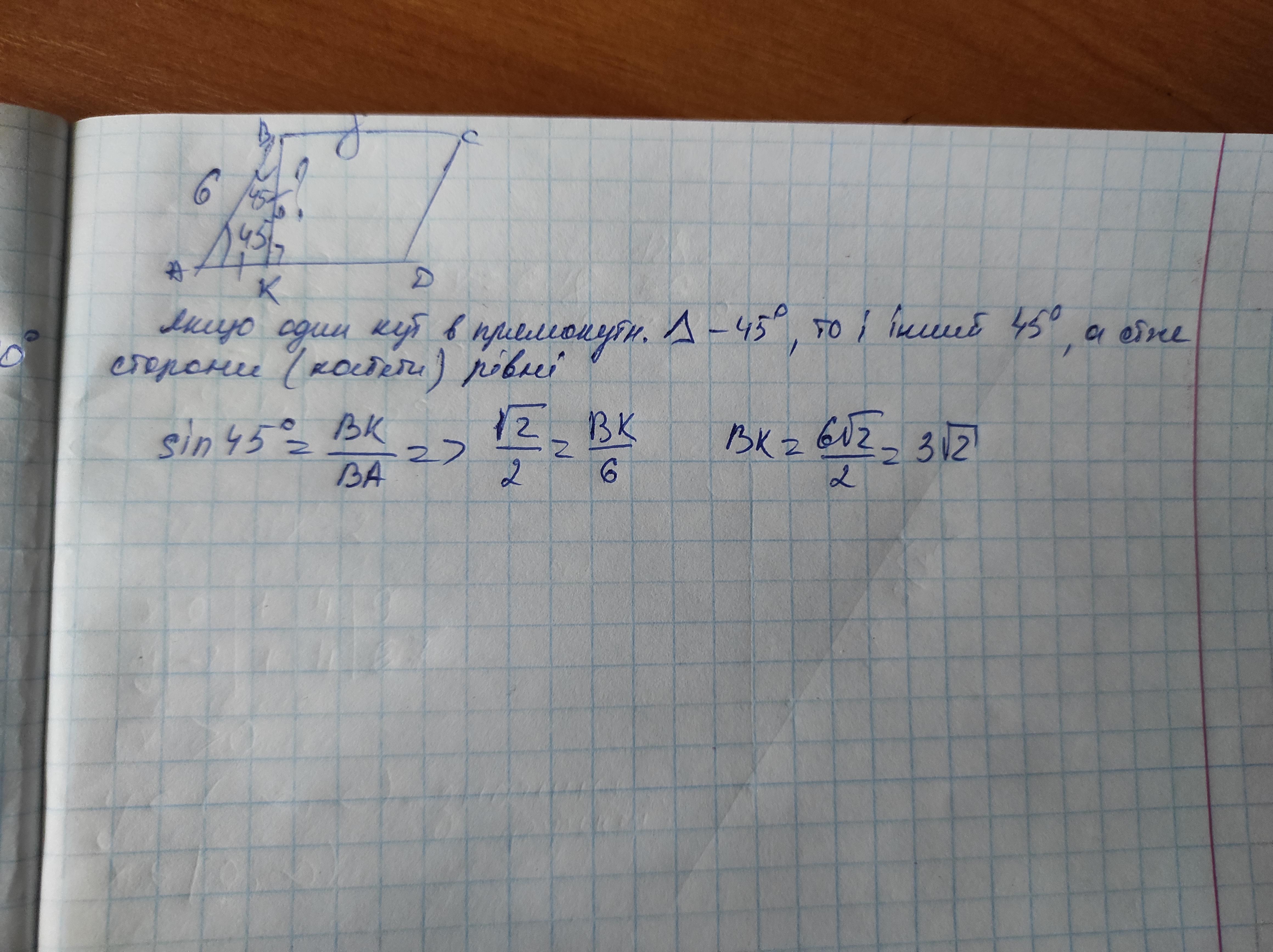
Две стороны параллелограмма равны 6 и 8 см , а его острый угол равен 45°. Найдите меньшую высоту параллелограмма. Срочно нужно.ДАЮ 15 БАЛЛОВ
Ответы
Автор ответа:
1
Відповідь:
на фото
Пояснення:
Приложения:
youcockylycemer:
спасибо большое
Что написано под рисунком ?
Похожие вопросы
Предмет: Русский язык,
автор: голова16
Предмет: Русский язык,
автор: karamelka20051
Предмет: Русский язык,
автор: donut121104
Предмет: Информатика,
автор: stasiamed007
Предмет: Русский язык,
автор: anaishanina277