Предмет: Математика,
автор: Аноним
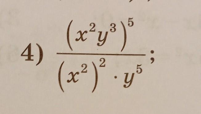
помогите пожалуйста
Приложения:
Ответы
Автор ответа:
0
Ответ:
какой класс )))))))))))))))
Пошаговое объяснение:
5 или 6
lamaevayvaz:
пр
привет
хаха
Похожие вопросы
Предмет: Русский язык,
автор: Pomogy2006
Предмет: Окружающий мир,
автор: Bobby2014
Предмет: Русский язык,
автор: юсик12
Предмет: Другие предметы,
автор: Аноним
Предмет: Математика,
автор: alinka112007