Предмет: Физика,
автор: iva22392
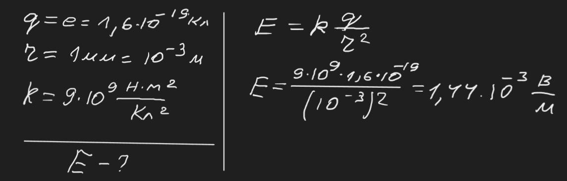
Обчислити напруженість електричного поля, яку створює електрон на відстані 1 мм
Ответы
Автор ответа:
1
Відповідь: 1,44 мВ/м
Пояснення:
Приложения:
Похожие вопросы
Предмет: Қазақ тiлi,
автор: JekaP1ay
Предмет: Русский язык,
автор: neumnaya88
Предмет: Окружающий мир,
автор: tanchoZp
Предмет: Математика,
автор: iljivanov
Предмет: Биология,
автор: emelkaru