Предмет: Алгебра, автор: Kolokokosik

ПОМОГИТЕ! СРОЧНО! Даю 100 баллов
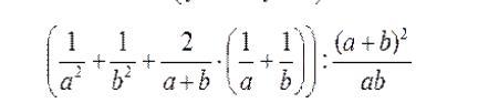
Упростить выражение

Приложения:

Ответы

Автор ответа: mathkot
2

Ответ:

\boldsymbol{ \boxed{ \displaystyle \Bigg( \frac{1}{a^{2}} + \frac{1}{b^{2}}  + \frac{2}{a + b} \cdot \bigg( \frac{1}{a} + \frac{1}{b} \bigg) \Bigg) :\frac{(a + b)^{2}}{ab} = \frac{1}{ab} }}

Примечание:

Формула сокращенного умножения:

\boxed{a^{2} + 2ab + b^{2} = (a + b)^{2}}

Приведение дроби к общему знаменателю:

\dfrac{a}{b}  + \dfrac{c}{d} = \dfrac{ad + bc}{bd}

Объяснение:

\displaystyle \Bigg( \frac{1}{a^{2}} + \frac{1}{b^{2}}  + \frac{2}{a + b} \cdot \bigg( \frac{1}{a} + \frac{1}{b} \bigg) \Bigg) :\frac{(a + b)^{2}}{ab} =

= \displaystyle \frac{ab}{(a + b)^{2}} \Bigg( \frac{1}{a^{2}} + \frac{1}{b^{2}}  + \frac{2}{a + b} \cdot \bigg( \frac{a + b}{ab}  \bigg) \Bigg)  =  \frac{ab}{(a + b)^{2}} \Bigg( \frac{1}{a^{2}} + \frac{1}{b^{2}}  + \frac{2}{a + b} \cdot \frac{a + b}{ab}   \Bigg)=

\displaystyle =  \frac{ab}{(a + b)^{2}} \Bigg( \frac{1}{a^{2}} + \frac{1}{b^{2}}  +  \frac{2}{ab}   \Bigg)= \frac{ab}{(a + b)^{2}} \Bigg(  \frac{a^{2} + b^{2}+2ab}{a^{2}b^{2}}   \Bigg)= \frac{ab}{(a + b)^{2}} \cdot \frac{(a + b)^{2}}{(ab)^{2}}  =

= \dfrac{1}{ab}


Kolokokosik: Благодарствую
vahilovdmi: Здравствуйте, не могли бы вы мне помочь с вопросом?
Похожие вопросы
Предмет: Химия, автор: fakafafas