Предмет: Математика,
автор: jrjrhxud
напишите пожалуйста!!!!!
Приложения:
Ответы
Автор ответа:
0
Ответ:
Пошаговое объяснение:
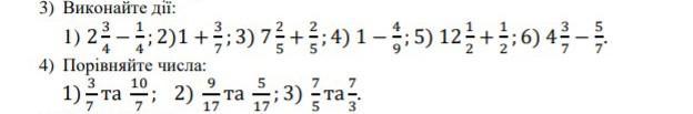
1) 2 3/4 - 1/4=2 2/4=2 1/2;
2) 1+3/7=1 3/7;
3) 7 2/5+2/5=7 4/5;
4) 1-4/9=9/9-4/9=5/9;
5) 12 1/2+1/2=12 2/2=13;
6) 4 3/7-5/7= 3 7/7+3/7-5/7=3 10/7 -5/7=3 5/7;
-------------
Из двух дробей с одинаковыми знаменателями больше та, у которой числитель больше:
1) 3/7<10/7;
2) 9/17>5/17;
Из двух дробей с одинаковыми числителями больше та, у которой знаменатель меньше:
7/5<7/3.
Похожие вопросы
Предмет: Окружающий мир,
автор: salihvaliulin
Предмет: Черчение,
автор: vero2002cheer
Предмет: Английский язык,
автор: alekcangrlarion
Предмет: Геометрия,
автор: grsa6686
Предмет: Русский язык,
автор: annaborodayeva