Предмет: Алгебра, автор: mayvmoon

Даю 30 баллов решите уравнение

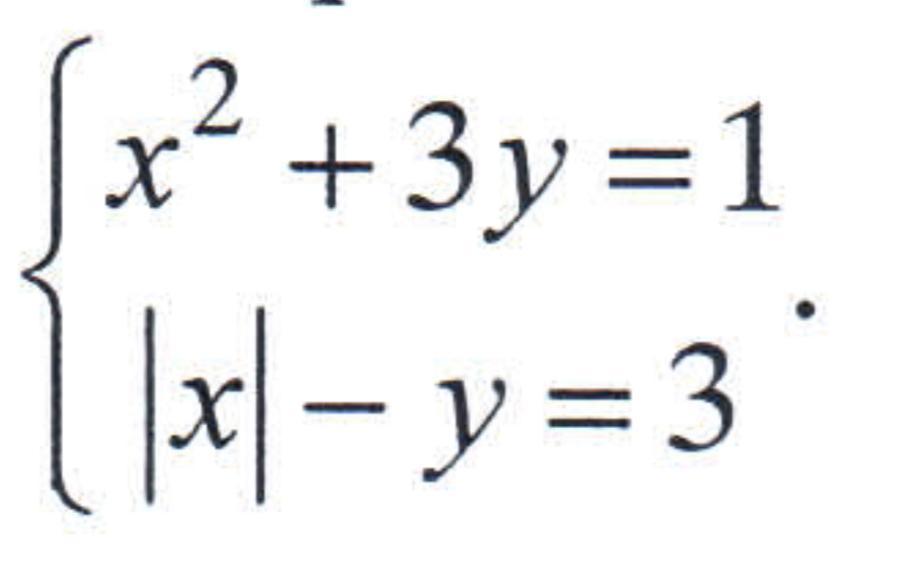
Приложения:

sd950: Поставьте, пожалуйста, корону - лучший ответ. Для меня это очень важно, спасибо.

Ответы

Автор ответа: sd950
1

Ответ:

(2;-1), (-2;-1).

Объяснение:

\left \{{{x^{2}+3y=1} \atop {|x|-y=3}} \right.\\\\\left \{{{x^{2}+3y=1} \atop {|x|-3=y}} \right.\\\\x^{2}+3(|x|-3)=1\\x^{2}+3\cdot|x|+3\cdot(-3)=1\\x^{2}+3\cdot|x|-9=1\\x^{2}+3\cdot|x|=10

Делим на два уравнения (x\geq0 и x < 0):

x\geq 0:

x^{2}+3x=10\\x^{2} +3x-10=0\\(x+5)(x-2)=0\\x+5=0 \ \ \ x-2=0\\x=-5 \ \ \ \ \ \ x=2\\x\geq 0 \Rightarrow x\neq -5\\x=2\\y=|2|-3=2-3=-1\\\\(2; -1)

x < 0:

x^{2}+3\cdot(-x)=10\\x^{2}-3x-10=0\\(x-5)(x+2)=0\\x-5=0 \ \ \ x+2=0\\x=5 \ \ \ \ \ \ x=-2\\x < 0 \Rightarrow x\neq 5\\x=-2\\y=|-2|-3=2-3=-1\\\\(-2; -1)

Автор ответа: aarr04594
2

Відповідь: фото

#################

Приложения:
Похожие вопросы
Предмет: Қазақ тiлi, автор: Anarakenes
Предмет: Математика, автор: fsuleymanova97