Предмет: Физика,
автор: kosakvskij
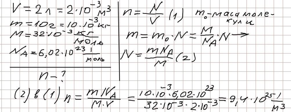
Герметично закриту посудину об ємом 2 л наповнено 10 г кисню. Визначити концентрацію молекул кисню в посудині.
Ответы
Автор ответа:
1
Відповідь: 9,4·10²⁴ 1/м³
Пояснення:
Приложения:
s4ndstrm:
пожалуй,вам стоит пересмотреть.
редактируйте ответ ,степень будет в 25 а не 24
Дякую! У розв'язанні відповідь у 25 степені, а на початку описка. На жаль відредагувати вже не можу!
автор думаю поймет по фотографию))
да, все ок!
Автор ответа:
1
Ответ:
9,375*10^25м^-3
===================
Приложения:
Похожие вопросы
Предмет: Қазақ тiлi,
автор: дрожженалакри
Предмет: Английский язык,
автор: mimimi43035
Предмет: Другие предметы,
автор: Киев28
Предмет: Беларуская мова,
автор: Skoropadinka
Предмет: Окружающий мир,
автор: fox1020