Предмет: Математика,
автор: anonimhelps
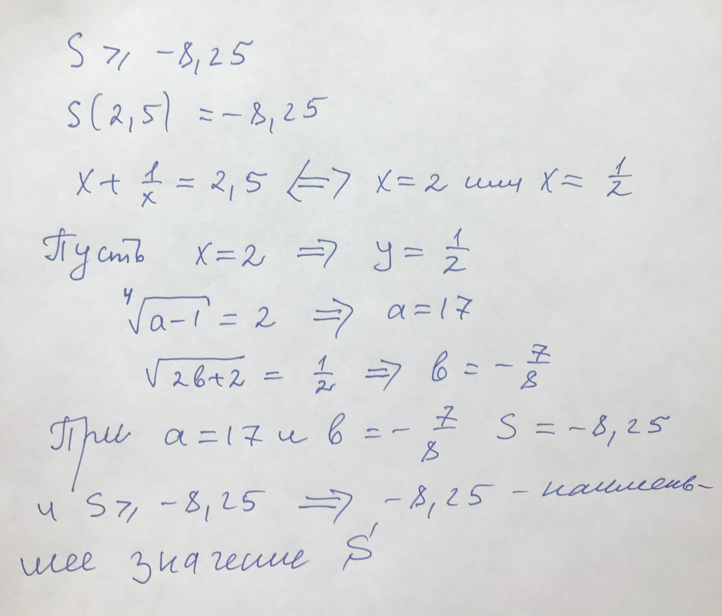
Найти наименьшее значение выражения:
Приложения:
Ответы
Автор ответа:
1
Ответ:
- 8, 25
Пошаговое объяснение:
Приложения:
antonovm:
хочу пояснить , зачем я по t искал a и b : надо было обосновать , что t = 2, 5 действительно соответствует некоторый х , ну а ему y , a , b
Похожие вопросы
Предмет: Русский язык,
автор: yaroslavamihai
Предмет: Русский язык,
автор: ЧуДо2017
Предмет: Қазақ тiлi,
автор: AlisaLissa
Предмет: Английский язык,
автор: arinadik2008
Предмет: Алгебра,
автор: 9999999983