Предмет: Алгебра, автор: lenanaumenko69

упростите выражение
45 баллов

Приложения:

Ответы

Автор ответа: MatemaT123
2

Ответ:

\sqrt[6]{a^{2}-1}

Объяснение:

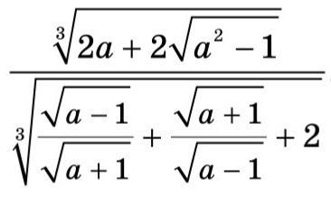
∛(2a+2√(a²-1)) / ∛((√a-1)/(√a+1)+(√a+1)/(√a-1)+2)

\dfrac{\sqrt[3]{2a+2\sqrt{a^{2}-1}}}{\sqrt[3]{\dfrac{\sqrt{a-1}}{\sqrt{a+1}}+\dfrac{\sqrt{a+1}}{\sqrt{a-1}}+2}}=\dfrac{\sqrt[3]{2a+2\sqrt{a^{2}-1}}}{\sqrt[3]{\dfrac{(\sqrt{a-1})^{2}+(\sqrt{a+1})^{2}}{\sqrt{a+1} \cdot \sqrt{a-1}}+2}}=

=\dfrac{\sqrt[3]{2a+2\sqrt{a^{2}-1}}}{\sqrt[3]{\dfrac{a-1+a+1}{\sqrt{(a+1) \cdot (a-1)}}+2}}=\dfrac{\sqrt[3]{2a+2\sqrt{a^{2}-1}}}{\sqrt[3]{\dfrac{2a}{\sqrt{a^{2}-1}}+2}}=

=\dfrac{\sqrt[3]{\bigg (\dfrac{2a}{\sqrt{a^{2}-1}}+2 \bigg ) \cdot \sqrt{a^{2}-1}}}{\sqrt[3]{\dfrac{2a}{\sqrt{a^{2}-1}}+2}}=\sqrt[3]{\sqrt{a^{2}-1}}=\sqrt[3 \cdot 2]{a^{2}-1}=\sqrt[6]{a^{2}-1} \ ;

Похожие вопросы
Предмет: Английский язык, автор: ноги3
Предмет: Другие предметы, автор: sekretMakaroshka