Предмет: Физика,
автор: khantore6
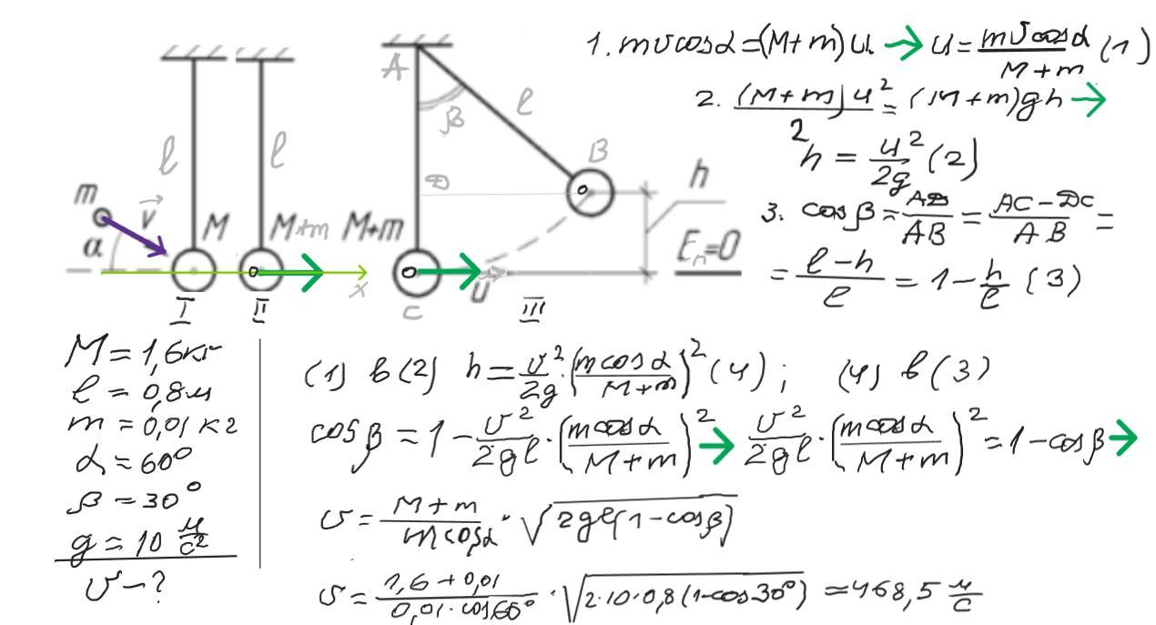
В шар массой 1,6 кг, подвешенный на нерастяжимой нити длиной 80 см, попадает и застревает в нем пуля массой 10 г, летевшая под углом 60 к горизонту. Шар с пулей отклонился на угол 300. С какой скоростью летела пуля? Массой нити пренебречь.
Ответы
Автор ответа:
0
Відповідь: 468,5 м/с
Пояснення: 1. Закон збереження імпульсу в проекції на вісь х
2. Закон збереження механічної енергії
3. Трохи геометрії
Приложения:
Похожие вопросы
Предмет: Русский язык,
автор: Dewlyn6
Предмет: Русский язык,
автор: Аноним
Предмет: Русский язык,
автор: JULIA1234558798UY
Предмет: Геометрия,
автор: kirusha228822
Предмет: Алгебра,
автор: faizullina04062004