Предмет: Математика,
автор: oleghigolica123
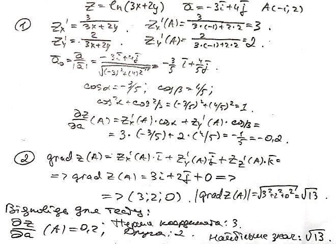
Виш мат потрібна допомога ще декілька питань
Варіанти відповідей: 2 . квадратному кореню з 13. -0.2 3
Приложения:
yevheniiavz:
ще треба?
Ответы
Автор ответа:
0
дивіться фото.............................
Приложения:
Похожие вопросы
Предмет: Другие предметы,
автор: Sabi45
Предмет: Русский язык,
автор: liza666777888999
Предмет: Русский язык,
автор: лиза13151
Предмет: Математика,
автор: vallensijaVallensija
Предмет: Математика,
автор: aizada040