Предмет: Математика,
автор: avfavf2010
помогите пж быстреее
Приложения:
Ответы
Автор ответа:
0
Ответ:
Пошаговое объяснение:
Приложения:
Автор ответа:
1
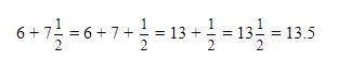
Ответ: 13 1/2
Пошаговое объяснение: просто целое число сложим с целым, дробь остаётся та же.
Приложения:
Похожие вопросы
Предмет: Английский язык,
автор: coolsollo
Предмет: Русский язык,
автор: lfyf456
Предмет: Русский язык,
автор: rinat2350
Предмет: Алгебра,
автор: rlm89659785225