Предмет: Алгебра,
автор: natalipavlyashik1993
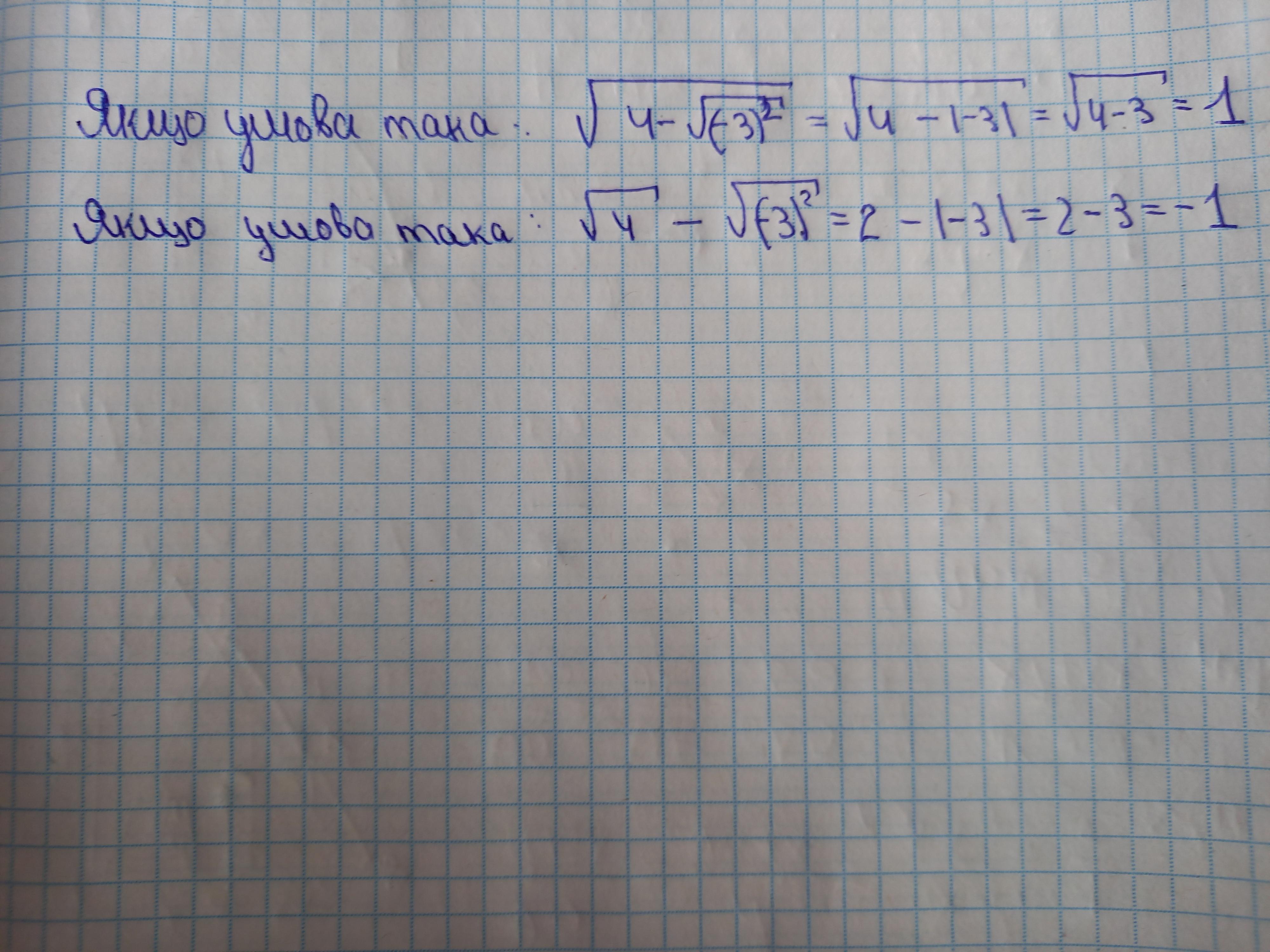
Допоможіть будь ласка √4-√(-3)²
Ответы
Автор ответа:
1
Ответ:
-1
2-3=-1
Надеюсь мой ответ будет полезным)
Автор ответа:
1
Доброго дня.
Пояснення: подивіться на умову.
Приложения:
aarr04594:
Яка у вас умова? Перша чи друга?
Друга, дякую вам велике))))
Похожие вопросы
Предмет: Английский язык,
автор: kozliy
Предмет: Английский язык,
автор: KseniyBasun
Предмет: Қазақ тiлi,
автор: Ella0011
Предмет: Русский язык,
автор: mari8886
Предмет: Другие предметы,
автор: scvortcovdaniil