Предмет: Алгебра,
автор: kristinagrecihina15
Очень нужно!!
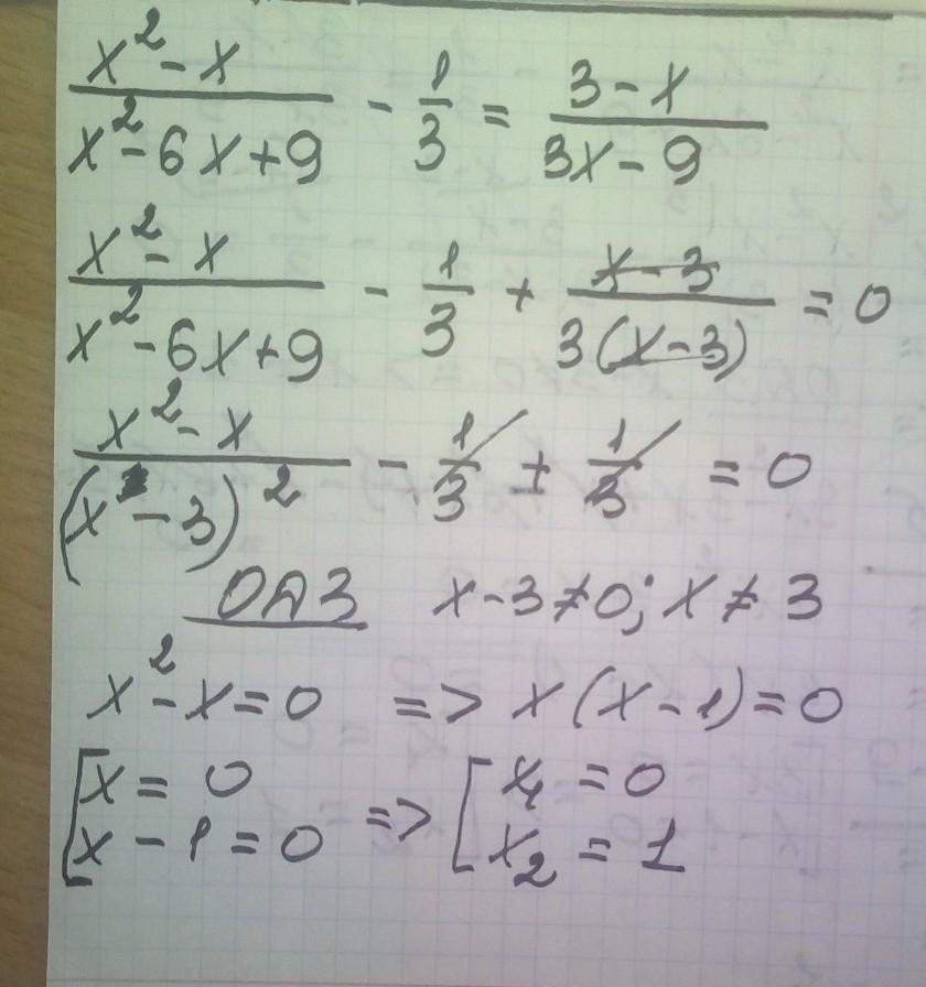
Решите дробно-рациональное уравнение
Skrinshot 26-09-2021 222919.png
ПОЛНОЕ РЕШЕНИЕ!!!
Приложения:
Ответы
Автор ответа:
1
решение смотри на фотографии
Приложения:
Похожие вопросы
Предмет: Қазақ тiлi,
автор: rkenzi
Предмет: Русский язык,
автор: TheUlaCat
Предмет: Русский язык,
автор: NuKi2006
Предмет: Алгебра,
автор: vasylchenkop
Предмет: Українська мова,
автор: dadan777