Предмет: Физика,
автор: Gggsb
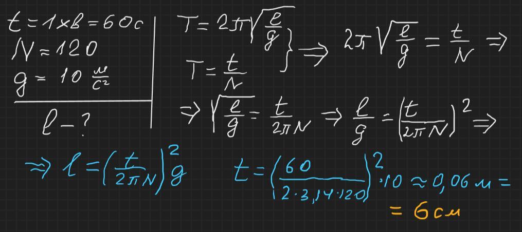
Визначте довжину маятника, що здійснює 120 коливань за 1 хв
. Вважайте, що прискорення вільного падіння становить g=10м/с*2
. Відповідь запишіть у См
та округліть до цілого.
Ответы
Автор ответа:
1
Відповідь: ≈ 6 см
Пояснення:
Приложения:
Похожие вопросы
Предмет: Английский язык,
автор: prostoyartem
Предмет: Қазақ тiлi,
автор: Аноним
Предмет: Английский язык,
автор: Актамберди86
Предмет: История,
автор: lina0900
Предмет: Алгебра,
автор: malikovat