Предмет: Алгебра,
автор: rafikusupov069
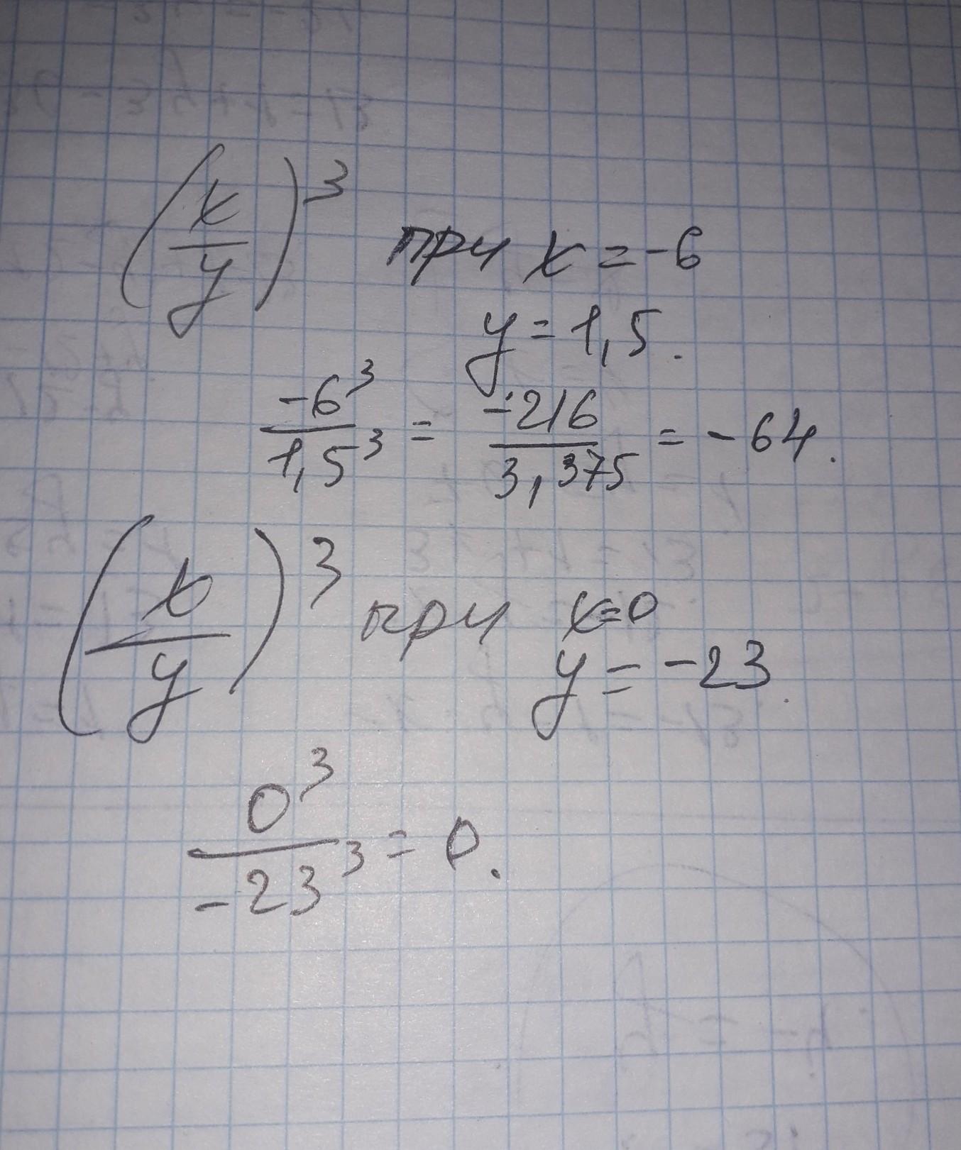
(x/y)³ при х=-6 и у=1,5 : х=0 и у=-23
Ответы
Автор ответа:
1
Ответ:
короче вот всё решение на листке описано
Приложения:
Автор ответа:
1
Ответ: 1) -64
2) 0
Объяснение: 1 (-6/1.5)³= -64
2 (0/-23)³ = 0
Похожие вопросы
Предмет: Английский язык,
автор: apple901
Предмет: Қазақ тiлi,
автор: Аноним
Предмет: Английский язык,
автор: anushk81
Предмет: История,
автор: tagaeva88
Предмет: Русский язык,
автор: fzemchur